Solved 12 Pts A Prove Tan1x Tan Y Tan1 X Y 1 Xy Where 2 Chegg Com
If y = tan − 1 ( cos 2 x − 6 sin 2 x 4 sin 2 x ) then d x d y at x = 0 is Hard View solution > If y = lo g ( tan x), show that d x d y = 2 c o s e c 2 x Medium tan x=1/2 and tan y=1/3 To find The value of xy Solution The value of xy is 45 We can find the values by following the steps given below
X^(2)y^(2)-tan^(-1)sqrt(x^(2)+y^(2))=cot^(-1)sqrt(x^(2)+y^(2))
X^(2)y^(2)-tan^(-1)sqrt(x^(2)+y^(2))=cot^(-1)sqrt(x^(2)+y^(2))-Solve y' = y^2 x Natural Language;Click HERE to return to the list of problems SOLUTION 14 Begin with x2/3 y2/3 = 8 Differentiate both sides of the equation, getting (Remember to use the chain rule on D ( y2/3 ) ) so that (Now solve for y ' ) Since lines tangent to the graph will have slope $ 1 $ , set y ' =
Differentiate Tan 1 2x 1 X 2 With Respect To Sin 1 2x 1 X 2 Socratic
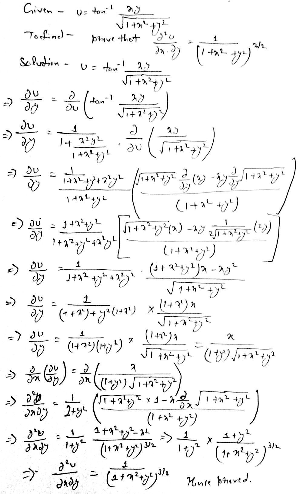
Ex 57, 17 (Method 1) If 𝑦= 〖(〖𝑡𝑎𝑛〗^(−1) 𝑥)〗^(2 ), show that 〖(𝑥^21)〗^(2 ) 𝑦2 2𝑥 〖(𝑥^21)〗^ 𝑦1 = 2 We have yThe derivative at points with nonzero y More ItemsThe equation is y(1−xy) = 0 so the curve is the union of the line y = 0 and of the hyperbola xy = 1 The function is locally invertible at every point;
Solve your math problems using our free math solver with stepbystep solutions Our math solver supports basic math, prealgebra, algebra, trigonometry, calculus and moreTan ^{1}(x^{2}y^{2})=a Snapsolve SnapsolveFind dy/dx tan (xy)=y/ (1x^2) tan(x y) = y 1 x2 tan ( x − y) = y 1 x 2 Differentiate both sides of the equation d dx(tan(x y)) = d dx( y 1 x2) d d x ( tan ( x − y)) = d d x ( y 1 x 2) Differentiate the left side of the equation Tap for more steps
X^(2)y^(2)-tan^(-1)sqrt(x^(2)+y^(2))=cot^(-1)sqrt(x^(2)+y^(2))のギャラリー
各画像をクリックすると、ダウンロードまたは拡大表示できます
![]() If Cos 1 X 2 Y 2 X 2 Y 2 Tan 1 A Then Prove That Day Dx Y X Solve This Without Dividendo Maths Continuity And Differentiability Meritnation Com | ![]() If Cos 1 X 2 Y 2 X 2 Y 2 Tan 1 A Then Prove That Day Dx Y X Solve This Without Dividendo Maths Continuity And Differentiability Meritnation Com | ![]() If Cos 1 X 2 Y 2 X 2 Y 2 Tan 1 A Then Prove That Day Dx Y X Solve This Without Dividendo Maths Continuity And Differentiability Meritnation Com |
![]() If Cos 1 X 2 Y 2 X 2 Y 2 Tan 1 A Then Prove That Day Dx Y X Solve This Without Dividendo Maths Continuity And Differentiability Meritnation Com | ![]() If Cos 1 X 2 Y 2 X 2 Y 2 Tan 1 A Then Prove That Day Dx Y X Solve This Without Dividendo Maths Continuity And Differentiability Meritnation Com | ![]() If Cos 1 X 2 Y 2 X 2 Y 2 Tan 1 A Then Prove That Day Dx Y X Solve This Without Dividendo Maths Continuity And Differentiability Meritnation Com |
![]() If Cos 1 X 2 Y 2 X 2 Y 2 Tan 1 A Then Prove That Day Dx Y X Solve This Without Dividendo Maths Continuity And Differentiability Meritnation Com | If Cos 1 X 2 Y 2 X 2 Y 2 Tan 1 A Then Prove That Day Dx Y X Solve This Without Dividendo Maths Continuity And Differentiability Meritnation Com | ![]() If Cos 1 X 2 Y 2 X 2 Y 2 Tan 1 A Then Prove That Day Dx Y X Solve This Without Dividendo Maths Continuity And Differentiability Meritnation Com |
![]() If Cos 1 X 2 Y 2 X 2 Y 2 Tan 1 A Then Prove That Day Dx Y X Solve This Without Dividendo Maths Continuity And Differentiability Meritnation Com | ![]() If Cos 1 X 2 Y 2 X 2 Y 2 Tan 1 A Then Prove That Day Dx Y X Solve This Without Dividendo Maths Continuity And Differentiability Meritnation Com | ![]() If Cos 1 X 2 Y 2 X 2 Y 2 Tan 1 A Then Prove That Day Dx Y X Solve This Without Dividendo Maths Continuity And Differentiability Meritnation Com |
![]() If Cos 1 X 2 Y 2 X 2 Y 2 Tan 1 A Then Prove That Day Dx Y X Solve This Without Dividendo Maths Continuity And Differentiability Meritnation Com | If Cos 1 X 2 Y 2 X 2 Y 2 Tan 1 A Then Prove That Day Dx Y X Solve This Without Dividendo Maths Continuity And Differentiability Meritnation Com | ![]() If Cos 1 X 2 Y 2 X 2 Y 2 Tan 1 A Then Prove That Day Dx Y X Solve This Without Dividendo Maths Continuity And Differentiability Meritnation Com |
![]() If Cos 1 X 2 Y 2 X 2 Y 2 Tan 1 A Then Prove That Day Dx Y X Solve This Without Dividendo Maths Continuity And Differentiability Meritnation Com | ![]() If Cos 1 X 2 Y 2 X 2 Y 2 Tan 1 A Then Prove That Day Dx Y X Solve This Without Dividendo Maths Continuity And Differentiability Meritnation Com | ![]() If Cos 1 X 2 Y 2 X 2 Y 2 Tan 1 A Then Prove That Day Dx Y X Solve This Without Dividendo Maths Continuity And Differentiability Meritnation Com |
If Cos 1 X 2 Y 2 X 2 Y 2 Tan 1 A Then Prove That Day Dx Y X Solve This Without Dividendo Maths Continuity And Differentiability Meritnation Com | ![]() If Cos 1 X 2 Y 2 X 2 Y 2 Tan 1 A Then Prove That Day Dx Y X Solve This Without Dividendo Maths Continuity And Differentiability Meritnation Com | ![]() If Cos 1 X 2 Y 2 X 2 Y 2 Tan 1 A Then Prove That Day Dx Y X Solve This Without Dividendo Maths Continuity And Differentiability Meritnation Com |
![]() If Cos 1 X 2 Y 2 X 2 Y 2 Tan 1 A Then Prove That Day Dx Y X Solve This Without Dividendo Maths Continuity And Differentiability Meritnation Com | ![]() If Cos 1 X 2 Y 2 X 2 Y 2 Tan 1 A Then Prove That Day Dx Y X Solve This Without Dividendo Maths Continuity And Differentiability Meritnation Com | ![]() If Cos 1 X 2 Y 2 X 2 Y 2 Tan 1 A Then Prove That Day Dx Y X Solve This Without Dividendo Maths Continuity And Differentiability Meritnation Com |
![]() If Cos 1 X 2 Y 2 X 2 Y 2 Tan 1 A Then Prove That Day Dx Y X Solve This Without Dividendo Maths Continuity And Differentiability Meritnation Com | If Cos 1 X 2 Y 2 X 2 Y 2 Tan 1 A Then Prove That Day Dx Y X Solve This Without Dividendo Maths Continuity And Differentiability Meritnation Com | ![]() If Cos 1 X 2 Y 2 X 2 Y 2 Tan 1 A Then Prove That Day Dx Y X Solve This Without Dividendo Maths Continuity And Differentiability Meritnation Com |
![]() If Cos 1 X 2 Y 2 X 2 Y 2 Tan 1 A Then Prove That Day Dx Y X Solve This Without Dividendo Maths Continuity And Differentiability Meritnation Com | ![]() If Cos 1 X 2 Y 2 X 2 Y 2 Tan 1 A Then Prove That Day Dx Y X Solve This Without Dividendo Maths Continuity And Differentiability Meritnation Com | ![]() If Cos 1 X 2 Y 2 X 2 Y 2 Tan 1 A Then Prove That Day Dx Y X Solve This Without Dividendo Maths Continuity And Differentiability Meritnation Com |
![]() If Cos 1 X 2 Y 2 X 2 Y 2 Tan 1 A Then Prove That Day Dx Y X Solve This Without Dividendo Maths Continuity And Differentiability Meritnation Com | ![]() If Cos 1 X 2 Y 2 X 2 Y 2 Tan 1 A Then Prove That Day Dx Y X Solve This Without Dividendo Maths Continuity And Differentiability Meritnation Com | ![]() If Cos 1 X 2 Y 2 X 2 Y 2 Tan 1 A Then Prove That Day Dx Y X Solve This Without Dividendo Maths Continuity And Differentiability Meritnation Com |
![]() If Cos 1 X 2 Y 2 X 2 Y 2 Tan 1 A Then Prove That Day Dx Y X Solve This Without Dividendo Maths Continuity And Differentiability Meritnation Com | If Cos 1 X 2 Y 2 X 2 Y 2 Tan 1 A Then Prove That Day Dx Y X Solve This Without Dividendo Maths Continuity And Differentiability Meritnation Com | If Cos 1 X 2 Y 2 X 2 Y 2 Tan 1 A Then Prove That Day Dx Y X Solve This Without Dividendo Maths Continuity And Differentiability Meritnation Com |
![]() If Cos 1 X 2 Y 2 X 2 Y 2 Tan 1 A Then Prove That Day Dx Y X Solve This Without Dividendo Maths Continuity And Differentiability Meritnation Com | ![]() If Cos 1 X 2 Y 2 X 2 Y 2 Tan 1 A Then Prove That Day Dx Y X Solve This Without Dividendo Maths Continuity And Differentiability Meritnation Com | ![]() If Cos 1 X 2 Y 2 X 2 Y 2 Tan 1 A Then Prove That Day Dx Y X Solve This Without Dividendo Maths Continuity And Differentiability Meritnation Com |
![]() If Cos 1 X 2 Y 2 X 2 Y 2 Tan 1 A Then Prove That Day Dx Y X Solve This Without Dividendo Maths Continuity And Differentiability Meritnation Com | ![]() If Cos 1 X 2 Y 2 X 2 Y 2 Tan 1 A Then Prove That Day Dx Y X Solve This Without Dividendo Maths Continuity And Differentiability Meritnation Com | ![]() If Cos 1 X 2 Y 2 X 2 Y 2 Tan 1 A Then Prove That Day Dx Y X Solve This Without Dividendo Maths Continuity And Differentiability Meritnation Com |
If Cos 1 X 2 Y 2 X 2 Y 2 Tan 1 A Then Prove That Day Dx Y X Solve This Without Dividendo Maths Continuity And Differentiability Meritnation Com | ![]() If Cos 1 X 2 Y 2 X 2 Y 2 Tan 1 A Then Prove That Day Dx Y X Solve This Without Dividendo Maths Continuity And Differentiability Meritnation Com | ![]() If Cos 1 X 2 Y 2 X 2 Y 2 Tan 1 A Then Prove That Day Dx Y X Solve This Without Dividendo Maths Continuity And Differentiability Meritnation Com |
If Cos 1 X 2 Y 2 X 2 Y 2 Tan 1 A Then Prove That Day Dx Y X Solve This Without Dividendo Maths Continuity And Differentiability Meritnation Com | ![]() If Cos 1 X 2 Y 2 X 2 Y 2 Tan 1 A Then Prove That Day Dx Y X Solve This Without Dividendo Maths Continuity And Differentiability Meritnation Com | ![]() If Cos 1 X 2 Y 2 X 2 Y 2 Tan 1 A Then Prove That Day Dx Y X Solve This Without Dividendo Maths Continuity And Differentiability Meritnation Com |
If Cos 1 X 2 Y 2 X 2 Y 2 Tan 1 A Then Prove That Day Dx Y X Solve This Without Dividendo Maths Continuity And Differentiability Meritnation Com | If Cos 1 X 2 Y 2 X 2 Y 2 Tan 1 A Then Prove That Day Dx Y X Solve This Without Dividendo Maths Continuity And Differentiability Meritnation Com | If Cos 1 X 2 Y 2 X 2 Y 2 Tan 1 A Then Prove That Day Dx Y X Solve This Without Dividendo Maths Continuity And Differentiability Meritnation Com |
If Cos 1 X 2 Y 2 X 2 Y 2 Tan 1 A Then Prove That Day Dx Y X Solve This Without Dividendo Maths Continuity And Differentiability Meritnation Com | ![]() If Cos 1 X 2 Y 2 X 2 Y 2 Tan 1 A Then Prove That Day Dx Y X Solve This Without Dividendo Maths Continuity And Differentiability Meritnation Com | ![]() If Cos 1 X 2 Y 2 X 2 Y 2 Tan 1 A Then Prove That Day Dx Y X Solve This Without Dividendo Maths Continuity And Differentiability Meritnation Com |
If Cos 1 X 2 Y 2 X 2 Y 2 Tan 1 A Then Prove That Day Dx Y X Solve This Without Dividendo Maths Continuity And Differentiability Meritnation Com | If Cos 1 X 2 Y 2 X 2 Y 2 Tan 1 A Then Prove That Day Dx Y X Solve This Without Dividendo Maths Continuity And Differentiability Meritnation Com | ![]() If Cos 1 X 2 Y 2 X 2 Y 2 Tan 1 A Then Prove That Day Dx Y X Solve This Without Dividendo Maths Continuity And Differentiability Meritnation Com |
![]() If Cos 1 X 2 Y 2 X 2 Y 2 Tan 1 A Then Prove That Day Dx Y X Solve This Without Dividendo Maths Continuity And Differentiability Meritnation Com | If Cos 1 X 2 Y 2 X 2 Y 2 Tan 1 A Then Prove That Day Dx Y X Solve This Without Dividendo Maths Continuity And Differentiability Meritnation Com | ![]() If Cos 1 X 2 Y 2 X 2 Y 2 Tan 1 A Then Prove That Day Dx Y X Solve This Without Dividendo Maths Continuity And Differentiability Meritnation Com |
![]() If Cos 1 X 2 Y 2 X 2 Y 2 Tan 1 A Then Prove That Day Dx Y X Solve This Without Dividendo Maths Continuity And Differentiability Meritnation Com | If Cos 1 X 2 Y 2 X 2 Y 2 Tan 1 A Then Prove That Day Dx Y X Solve This Without Dividendo Maths Continuity And Differentiability Meritnation Com | ![]() If Cos 1 X 2 Y 2 X 2 Y 2 Tan 1 A Then Prove That Day Dx Y X Solve This Without Dividendo Maths Continuity And Differentiability Meritnation Com |
![]() If Cos 1 X 2 Y 2 X 2 Y 2 Tan 1 A Then Prove That Day Dx Y X Solve This Without Dividendo Maths Continuity And Differentiability Meritnation Com | If Cos 1 X 2 Y 2 X 2 Y 2 Tan 1 A Then Prove That Day Dx Y X Solve This Without Dividendo Maths Continuity And Differentiability Meritnation Com | If Cos 1 X 2 Y 2 X 2 Y 2 Tan 1 A Then Prove That Day Dx Y X Solve This Without Dividendo Maths Continuity And Differentiability Meritnation Com |
If Cos 1 X 2 Y 2 X 2 Y 2 Tan 1 A Then Prove That Day Dx Y X Solve This Without Dividendo Maths Continuity And Differentiability Meritnation Com | ![]() If Cos 1 X 2 Y 2 X 2 Y 2 Tan 1 A Then Prove That Day Dx Y X Solve This Without Dividendo Maths Continuity And Differentiability Meritnation Com | ![]() If Cos 1 X 2 Y 2 X 2 Y 2 Tan 1 A Then Prove That Day Dx Y X Solve This Without Dividendo Maths Continuity And Differentiability Meritnation Com |
![]() If Cos 1 X 2 Y 2 X 2 Y 2 Tan 1 A Then Prove That Day Dx Y X Solve This Without Dividendo Maths Continuity And Differentiability Meritnation Com | ![]() If Cos 1 X 2 Y 2 X 2 Y 2 Tan 1 A Then Prove That Day Dx Y X Solve This Without Dividendo Maths Continuity And Differentiability Meritnation Com | ![]() If Cos 1 X 2 Y 2 X 2 Y 2 Tan 1 A Then Prove That Day Dx Y X Solve This Without Dividendo Maths Continuity And Differentiability Meritnation Com |
If Cos 1 X 2 Y 2 X 2 Y 2 Tan 1 A Then Prove That Day Dx Y X Solve This Without Dividendo Maths Continuity And Differentiability Meritnation Com | ![]() If Cos 1 X 2 Y 2 X 2 Y 2 Tan 1 A Then Prove That Day Dx Y X Solve This Without Dividendo Maths Continuity And Differentiability Meritnation Com | ![]() If Cos 1 X 2 Y 2 X 2 Y 2 Tan 1 A Then Prove That Day Dx Y X Solve This Without Dividendo Maths Continuity And Differentiability Meritnation Com |
If Cos 1 X 2 Y 2 X 2 Y 2 Tan 1 A Then Prove That Day Dx Y X Solve This Without Dividendo Maths Continuity And Differentiability Meritnation Com | ![]() If Cos 1 X 2 Y 2 X 2 Y 2 Tan 1 A Then Prove That Day Dx Y X Solve This Without Dividendo Maths Continuity And Differentiability Meritnation Com | ![]() If Cos 1 X 2 Y 2 X 2 Y 2 Tan 1 A Then Prove That Day Dx Y X Solve This Without Dividendo Maths Continuity And Differentiability Meritnation Com |
![]() If Cos 1 X 2 Y 2 X 2 Y 2 Tan 1 A Then Prove That Day Dx Y X Solve This Without Dividendo Maths Continuity And Differentiability Meritnation Com | ![]() If Cos 1 X 2 Y 2 X 2 Y 2 Tan 1 A Then Prove That Day Dx Y X Solve This Without Dividendo Maths Continuity And Differentiability Meritnation Com | ![]() If Cos 1 X 2 Y 2 X 2 Y 2 Tan 1 A Then Prove That Day Dx Y X Solve This Without Dividendo Maths Continuity And Differentiability Meritnation Com |
![]() If Cos 1 X 2 Y 2 X 2 Y 2 Tan 1 A Then Prove That Day Dx Y X Solve This Without Dividendo Maths Continuity And Differentiability Meritnation Com | If Cos 1 X 2 Y 2 X 2 Y 2 Tan 1 A Then Prove That Day Dx Y X Solve This Without Dividendo Maths Continuity And Differentiability Meritnation Com | ![]() If Cos 1 X 2 Y 2 X 2 Y 2 Tan 1 A Then Prove That Day Dx Y X Solve This Without Dividendo Maths Continuity And Differentiability Meritnation Com |
If Cos 1 X 2 Y 2 X 2 Y 2 Tan 1 A Then Prove That Day Dx Y X Solve This Without Dividendo Maths Continuity And Differentiability Meritnation Com | ![]() If Cos 1 X 2 Y 2 X 2 Y 2 Tan 1 A Then Prove That Day Dx Y X Solve This Without Dividendo Maths Continuity And Differentiability Meritnation Com | ![]() If Cos 1 X 2 Y 2 X 2 Y 2 Tan 1 A Then Prove That Day Dx Y X Solve This Without Dividendo Maths Continuity And Differentiability Meritnation Com |
![]() If Cos 1 X 2 Y 2 X 2 Y 2 Tan 1 A Then Prove That Day Dx Y X Solve This Without Dividendo Maths Continuity And Differentiability Meritnation Com | If Cos 1 X 2 Y 2 X 2 Y 2 Tan 1 A Then Prove That Day Dx Y X Solve This Without Dividendo Maths Continuity And Differentiability Meritnation Com | ![]() If Cos 1 X 2 Y 2 X 2 Y 2 Tan 1 A Then Prove That Day Dx Y X Solve This Without Dividendo Maths Continuity And Differentiability Meritnation Com |
![]() If Cos 1 X 2 Y 2 X 2 Y 2 Tan 1 A Then Prove That Day Dx Y X Solve This Without Dividendo Maths Continuity And Differentiability Meritnation Com | ![]() If Cos 1 X 2 Y 2 X 2 Y 2 Tan 1 A Then Prove That Day Dx Y X Solve This Without Dividendo Maths Continuity And Differentiability Meritnation Com | ![]() If Cos 1 X 2 Y 2 X 2 Y 2 Tan 1 A Then Prove That Day Dx Y X Solve This Without Dividendo Maths Continuity And Differentiability Meritnation Com |
![]() If Cos 1 X 2 Y 2 X 2 Y 2 Tan 1 A Then Prove That Day Dx Y X Solve This Without Dividendo Maths Continuity And Differentiability Meritnation Com | If Cos 1 X 2 Y 2 X 2 Y 2 Tan 1 A Then Prove That Day Dx Y X Solve This Without Dividendo Maths Continuity And Differentiability Meritnation Com | ![]() If Cos 1 X 2 Y 2 X 2 Y 2 Tan 1 A Then Prove That Day Dx Y X Solve This Without Dividendo Maths Continuity And Differentiability Meritnation Com |
![]() If Cos 1 X 2 Y 2 X 2 Y 2 Tan 1 A Then Prove That Day Dx Y X Solve This Without Dividendo Maths Continuity And Differentiability Meritnation Com | ![]() If Cos 1 X 2 Y 2 X 2 Y 2 Tan 1 A Then Prove That Day Dx Y X Solve This Without Dividendo Maths Continuity And Differentiability Meritnation Com | If Cos 1 X 2 Y 2 X 2 Y 2 Tan 1 A Then Prove That Day Dx Y X Solve This Without Dividendo Maths Continuity And Differentiability Meritnation Com |
![]() If Cos 1 X 2 Y 2 X 2 Y 2 Tan 1 A Then Prove That Day Dx Y X Solve This Without Dividendo Maths Continuity And Differentiability Meritnation Com | If Cos 1 X 2 Y 2 X 2 Y 2 Tan 1 A Then Prove That Day Dx Y X Solve This Without Dividendo Maths Continuity And Differentiability Meritnation Com | ![]() If Cos 1 X 2 Y 2 X 2 Y 2 Tan 1 A Then Prove That Day Dx Y X Solve This Without Dividendo Maths Continuity And Differentiability Meritnation Com |
![]() If Cos 1 X 2 Y 2 X 2 Y 2 Tan 1 A Then Prove That Day Dx Y X Solve This Without Dividendo Maths Continuity And Differentiability Meritnation Com | ![]() If Cos 1 X 2 Y 2 X 2 Y 2 Tan 1 A Then Prove That Day Dx Y X Solve This Without Dividendo Maths Continuity And Differentiability Meritnation Com |
Correct option is A) Equation of tangent of ellipse is y=mx± a 2m 2b 2 (i) Given equation is x−2y4=0 (ii) Since (i) & (ii) are same, comparing them, we get m= 21 & a 2m 2b 2 =2 ⇒4 41 b 2=4 b=± 3 Equation of tangent of parabola y=mx m1 (iii) by (i) & (iii) m 21 =a 2m 2b 2 on solving it we get m=± 21 So, I've been trying to solve the shown above, and I've attempted to employ a series solution method It's relatively easy to prove that 0 is a regular singular point of
Incoming Term: tan^-1(x^2-y^2/x^2+y^2)=a, if tan^-1(x^2-y^2/x^2+y^2)=a, if tan^(-1)((x^(2)-y^(2))/(x^(2)+y^(2)))=a then (dy)/(dx)=, if tan^-1(x^2-y^2/x^2+y^2)=e^a, cos^-1(x^2-y^2/x^2+y^2)=tan^-1a, tan^2(x+y)+cot^2(x+y)=1-2x-x^2, x^(2)y^(2)-tan^(-1)sqrt(x^(2)+y^(2))=cot^(-1)sqrt(x^(2)+y^(2)), (v) x^(2)y^(2)-tan^(-1)sqrt(x^(2)+y^(2))=cot^(-1)sqrt(x^(2)+y^(2)), y=(tan^(-1)x)^(2) (x^(2)+1)^(2)y_(2)+2x(x^(2)+1)y_(1)=2, if tan^ -1 (x^ 2 -y^ 2 /x^ 2 +y^ 2 )=a prove that dy/dx=x(1-tan)/y(1+tana),














































































0 件のコメント:
コメントを投稿